• Raindrop Clipart Transparent Background - Raindrop Pattern

    Raindrop Clipart Transparent Background - Raindrop Pattern

    850*729

    1

    1

  • Collection Of 14 Free Raindrop Clipart Impure Water - Raindrops Clipart

    Collection Of 14 Free Raindrop Clipart Impure Water - Raindrops Clipart

    640*480

    1

    1

  • Collection Of Raindrop Clipart Black And - Raindrop Clipart Black And White

    Collection Of Raindrop Clipart Black And - Raindrop Clipart Black And White

    432*597

    1

    1

  • Raindrop Sketch On Behance - Black Raindrop Png

    Raindrop Sketch On Behance - Black Raindrop Png

    600*896

    1

    1

  • Raindrop - Clipart - Raindrop Clipart Transparent Background

    Raindrop - Clipart - Raindrop Clipart Transparent Background

    314*400

    1

    1

  • Drawing Raindrops Vector - Raindrop Vector

    Drawing Raindrops Vector - Raindrop Vector

    1024*1024

    1

    1

  • Raindrops By Mowza2k2-d41z81s - My Little Pony Raindrop

    Raindrops By Mowza2k2-d41z81s - My Little Pony Raindrop

    684*1169

    1

    1

  • Ascended-raindrop Cake - Raindrop Cake Food Fantasy

    Ascended-raindrop Cake - Raindrop Cake Food Fantasy

    1002*1334

    1

    1

  • Raindrop At Vector Online - Raindrop Clipart

    Raindrop At Vector Online - Raindrop Clipart

    456*594

    1

    1

  • Drawn Raindrops Svg - White Raindrop

    Drawn Raindrops Svg - White Raindrop

    640*480

    1

    1

  • Raindrops Pic - Raindrops Clipart

    Raindrops Pic - Raindrops Clipart

    360*360

    0

    0

  • Blue Water Droplet Logo - Raindrop Clipart

    Blue Water Droplet Logo - Raindrop Clipart

    3837*6293

    1

    1

  • Download - Raindrop .png

    Download - Raindrop .png

    640*464

    1

    1

  • Cartoon Water Drop Clipart - Raindrops Clipart

    Cartoon Water Drop Clipart - Raindrops Clipart

    894*894

    1

    1

  • Pink - Raindrop Clipart No Background

    Pink - Raindrop Clipart No Background

    712*720

    1

    1

  • Raindrop Drop Top Memes Harambe

    Raindrop Drop Top Memes Harambe

    590*590

    1

    1

  • Lemon-tree - Raindrops Wall Stickers

    Lemon-tree - Raindrops Wall Stickers

    600*619

    1

    1

  • Yellow Drop Clip Art At Clkercom Vector Online Royalty - Yellow Raindrop Clipart

    Yellow Drop Clip Art At Clkercom Vector Online Royalty - Yellow Raindrop Clipart

    426*599

    1

    1

  • Drops Png Clipart - Raindrops Png

    Drops Png Clipart - Raindrops Png

    1024*1024

    1

    1

  • #freetoedit#rain #cloud #clouds #kawaii #cute #tumblr - Raindrops Cute

    #freetoedit#rain #cloud #clouds #kawaii #cute #tumblr - Raindrops Cute

    432*432

    1

    1

  • Clip Art At Clker Com Vector Online - Purple Raindrop Clipart

    Clip Art At Clker Com Vector Online - Purple Raindrop Clipart

    450*599

    1

    1

  • Rain Drop Clipart Money Clipart Hatenylo - Raindrops Clipart

    Rain Drop Clipart Money Clipart Hatenylo - Raindrops Clipart

    1024*1024

    1

    1

  • Orange Raindrop Png

    Orange Raindrop Png

    432*597

    1

    1

  • Yellow Raindrop Clipart

    Yellow Raindrop Clipart

    432*597

    1

    1

  • Tear Png Clipart - Raindrop Vector

    Tear Png Clipart - Raindrop Vector

    528*720

    1

    1

  • Ftestickers Rain Water Mask Background Nature Sticker - Transparent Background Raindrop Png

    Ftestickers Rain Water Mask Background Nature Sticker - Transparent Background Raindrop Png

    1024*1024

    1

    1

  • Cloud Services Icon - Raindrops Clipart Black And White

    Cloud Services Icon - Raindrops Clipart Black And White

    1000*700

    1

    1

  • Raindrop Clipart

    Raindrop Clipart

    432*595

    1

    1

  • One Website To Rule All - Sophia O'connor Raindrops Cushion

    One Website To Rule All - Sophia O'connor Raindrops Cushion

    876*466

    1

    1

  • See Here Cloud Clipart Transparent Background Hd Wallpapers - Raindrops Clipart Black And White

    See Here Cloud Clipart Transparent Background Hd Wallpapers - Raindrops Clipart Black And White

    678*381

    1

    1

  • Drops Of Water - Raindrop Svg

    Drops Of Water - Raindrop Svg

    922*980

    1

    1

  • Mi Hosta Es Su Hosta - Raindrop Drop Top Shirt

    Mi Hosta Es Su Hosta - Raindrop Drop Top Shirt

    484*484

    1

    1

  • Wall Sticker Raindrops Are Like

    Wall Sticker Raindrops Are Like

    1000*1000

    0

    0

  • Scary Monsters & Nice Sprites Sheet Music Composed - Raindrops Keep Falling On My Head Score

    Scary Monsters & Nice Sprites Sheet Music Composed - Raindrops Keep Falling On My Head Score

    827*1169

    0

    0

  • How To Get Over A Breakup - Raindrop Prism

    How To Get Over A Breakup - Raindrop Prism

    600*900

    0

    0

  • Raindrop Clipart Grey - Circle

    Raindrop Clipart Grey - Circle

    426*599

    1

    1

  • Free Pear Pictures Download Clip Art On - Clip Art

    Free Pear Pictures Download Clip Art On - Clip Art

    600*1044

    1

    1

  • Rain Icon Free Download - Walang Pasok July 9 2018

    Rain Icon Free Download - Walang Pasok July 9 2018

    1600*1600

    1

    1

  • Unicorn Horn Glitter Png - Rainbow Unicorn Horn Png

    Unicorn Horn Glitter Png - Rainbow Unicorn Horn Png

    456*456

    2

    1

  • Rain Cloud Shape With A Few Raindrops Icon - Cartoon Water Drops Png

    Rain Cloud Shape With A Few Raindrops Icon - Cartoon Water Drops Png

    400*617

    1

    1

  • Raindrop Frostylesnowman - Cartoon

    Raindrop Frostylesnowman - Cartoon

    505*670

    1

    1

  • Doodle Pad Duo Sketchbooks - Ooly Doodle Pad Sunshine

    Doodle Pad Duo Sketchbooks - Ooly Doodle Pad Sunshine

    800*800

    1

    1

  • The Visual Is Of Watercolor Raindrops That Resemble - Poster

    The Visual Is Of Watercolor Raindrops That Resemble - Poster

    1920*2465

    1

    1

  • Clip Black And White Stock Raindrop Panda Free Images - Water Droplet Clip Art

    Clip Black And White Stock Raindrop Panda Free Images - Water Droplet Clip Art

    432*595

    1

    1

  • Image Stock Collection Of Free Dropt Colorful Download - Purple Rain Drop Transparent

    Image Stock Collection Of Free Dropt Colorful Download - Purple Rain Drop Transparent

    432*597

    1

    1

  • Raindrop Clipart Border

    Raindrop Clipart Border

    886*720

    1

    1

  • Raindrops Clipart Heart - Clip Art

    Raindrops Clipart Heart - Clip Art

    375*360

    1

    1

  • Drops Rain Raindrops Water Droplets Tears - Rain Drop In Png

    Drops Rain Raindrops Water Droplets Tears - Rain Drop In Png

    468*340

    2

    1

  • Drawn Raindrops Tumblr Transparent - Wallpaper

    Drawn Raindrops Tumblr Transparent - Wallpaper

    640*480

    1

    1

  • Drip The Umbrella Holding Raindrop By Mofufuu - Umbrella

    Drip The Umbrella Holding Raindrop By Mofufuu - Umbrella

    379*345

    1

    1

  • 15 Raindrop Png For Free Download On Mbtskoudsalg - Transparent Background Water Clipart

    15 Raindrop Png For Free Download On Mbtskoudsalg - Transparent Background Water Clipart

    800*1600

    1

    1

  • Blue Raindrops - Display Device

    Blue Raindrops - Display Device

    400*400

    1

    1

  • Meteor Shower Seamless Photos By Canva Rain - Meteor Shower

    Meteor Shower Seamless Photos By Canva Rain - Meteor Shower

    550*550

    1

    1

  • Drawing Raindrops Water Drip Library Stock A Little - Drawing

    Drawing Raindrops Water Drip Library Stock A Little - Drawing

    1023*640

    1

    1

  • Raindrop Up And Down Raindrop Coloring Page Up And - Football Helmets

    Raindrop Up And Down Raindrop Coloring Page Up And - Football Helmets

    550*432

    1

    1

  • #6023 Raindrop ® By Pioneer Pet Premium Stainless Steel-60oz - Pioneer Pet

    #6023 Raindrop ® By Pioneer Pet Premium Stainless Steel-60oz - Pioneer Pet

    549*518

    1

    1

  • Raindrops Clipart Uses Water - Water Drop With Legs

    Raindrops Clipart Uses Water - Water Drop With Legs

    1892*2400

    1

    1

  • Gewitter Und Regen

    Gewitter Und Regen

    500*489

    1

    1

  • Water, Fountains, Raindrops, Ripples More - Sketch

    Water, Fountains, Raindrops, Ripples More - Sketch

    384*400

    1

    1

  • Drawing Raindrops File Clip Art Royalty Free Library - Drawing

    Drawing Raindrops File Clip Art Royalty Free Library - Drawing

    456*456

    1

    1

  • Raindrops 1 Canvas Print - Artist

    Raindrops 1 Canvas Print - Artist

    429*344

    1

    1

  • Raindrops On Window Pane - Plank

    Raindrops On Window Pane - Plank

    400*400

    1

    1

  • Editing, Raindrops, And Pngs Image - Sweetener Ariana Grande Album He

    Editing, Raindrops, And Pngs Image - Sweetener Ariana Grande Album He

    750*750

    1

    1

  • Raindrops Clipart Happy

    Raindrops Clipart Happy

    501*487

    1

    1

  • Cloud With Raindrops Vector - Cloud

    Cloud With Raindrops Vector - Cloud

    400*400

    1

    1

  • Logo Red Raindrops - Beige

    Logo Red Raindrops - Beige

    1280*306

    1

    1

  • The Relationship Between Raindrop Size And Terminal - Plot

    The Relationship Between Raindrop Size And Terminal - Plot

    755*517

    1

    1

  • Raindrops Beanies - Whistle And Flute Kids Beanie

    Raindrops Beanies - Whistle And Flute Kids Beanie

    1500*1500

    1

    1

  • Graphic Design Transprent Png - Raining Graphic Design

    Graphic Design Transprent Png - Raining Graphic Design

    3478*1930

    2

    1

  • Home Window With Raindrops After Summer Rain Sticker - Psychodynamic Treatment Of Depression By Fredric N.

    Home Window With Raindrops After Summer Rain Sticker - Psychodynamic Treatment Of Depression By Fredric N.

    400*400

    1

    1

  • Raindrop Outlined Shape Vector - Icono Liquido

    Raindrop Outlined Shape Vector - Icono Liquido

    400*400

    2

    1

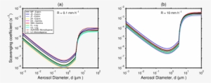
  • Scavenging Coefficients As A Function Of Particle Size - Diagram

    Scavenging Coefficients As A Function Of Particle Size - Diagram

    850*324

    1

    1

  • Raindrops Falling Of A Black Cloud Comments - Pioggia Icona

    Raindrops Falling Of A Black Cloud Comments - Pioggia Icona

    884*980

    1

    1

  • Drawing Raindrops Shading - 2016 Color Me Happy Daily Desktop Box Calendar

    Drawing Raindrops Shading - 2016 Color Me Happy Daily Desktop Box Calendar

    1535*1535

    1

    1

  • Cloud Of Rain With Raindrops Falling Handmade Symbol - Png Symbol Black And White Rain

    Cloud Of Rain With Raindrops Falling Handmade Symbol - Png Symbol Black And White Rain

    981*906

    1

    1

  • Raindrops Keep Falling On My Head~ - Torraine Futurum

    Raindrops Keep Falling On My Head~ - Torraine Futurum

    1280*1280

    1

    1

  • Raindrops Keep Faillin' On My Head Sheet Music Composed - Christmas Sanctus Lee Dengler Sab

    Raindrops Keep Faillin' On My Head Sheet Music Composed - Christmas Sanctus Lee Dengler Sab

    850*1100

    1

    1

  • Rosenblatt, Drip, Raindrop, Wet, Drop Of Water, Beaded - ใบไม้ หยด น้ำ Png

    Rosenblatt, Drip, Raindrop, Wet, Drop Of Water, Beaded - ใบไม้ หยด น้ำ Png

    960*624

    1

    1

  • Raindrops Clipart Cutie Mark - Mlp Blue Cutie Marks

    Raindrops Clipart Cutie Mark - Mlp Blue Cutie Marks

    780*1025

    1

    1

  • Drops Clipart Raindrop - Circle

    Drops Clipart Raindrop - Circle

    640*480

    0

    0

  • Raindrops & Rainbows - Survivor Word

    Raindrops & Rainbows - Survivor Word

    456*456

    0

    0

  • Raindrops - Portable Network Graphics

    Raindrops - Portable Network Graphics

    1223*852

    0

    0

  • Carlabank Raindrops Mockup Wall

    Carlabank Raindrops Mockup Wall

    1000*1000

    0

    0

  • Raindrops And Lollipops - Hipster Mustache Teal Pillow Case

    Raindrops And Lollipops - Hipster Mustache Teal Pillow Case

    2157*582

    0

    0

  • Screw Raindrops - Cartoon

    Screw Raindrops - Cartoon

    1196*893

    0

    0

  • Blue Raindrop Art Glass With Black Base, No Name Plate - Engraving

    Blue Raindrop Art Glass With Black Base, No Name Plate - Engraving

    800*800

    0

    0

  • Raindrop Graphic - Bryn Mawr Dermatology Logo

    Raindrop Graphic - Bryn Mawr Dermatology Logo

    456*456

    0

    0

  • Raindrops Hologram Rain Drops Ftestickers - Rain Gems

    Raindrops Hologram Rain Drops Ftestickers - Rain Gems

    1024*1024

    0

    0

  • Raindrops Clipart Tiny - Oval

    Raindrops Clipart Tiny - Oval

    640*480

    0

    0

  • Teardrop, Raindrop, Weather, Rain, Drop, Water Icon - Rain Drops Icon Png

    Teardrop, Raindrop, Weather, Rain, Drop, Water Icon - Rain Drops Icon Png

    501*513

    0

    0

1 2 Next