• And The Sweeping And The Dusting By Mistytang - Cinderella Mice Deviantart

    And The Sweeping And The Dusting By Mistytang - Cinderella Mice Deviantart

    600*642

    1

    1

  • 3 Blind Mice - Three Blind Mice Clipart

    3 Blind Mice - Three Blind Mice Clipart

    500*411

    1

    1

  • Trio Of Felt Mice - Hartz Mini Mice Trio Cat Toys

    Trio Of Felt Mice - Hartz Mini Mice Trio Cat Toys

    708*1000

    1

    1

  • The Global Mice Summit - Global Mice Summit

    The Global Mice Summit - Global Mice Summit

    850*601

    0

    0

  • Rat Mouse Png Clipart - Mice Png

    Rat Mouse Png Clipart - Mice Png

    444*289

    1

    1

  • Lab Mouse Mouse Science Lab Animal Mammal - Mice Lab Png

    Lab Mouse Mouse Science Lab Animal Mammal - Mice Lab Png

    553*340

    1

    1

  • Cinderella - Cinderella Mice Png

    Cinderella - Cinderella Mice Png

    916*786

    1

    1

  • 647 496 - Mice Png

    647 496 - Mice Png

    1024*663

    1

    1

  • Li'l Woodzeez Family - Mice

    Li'l Woodzeez Family - Mice

    900*660

    1

    1

  • Mice - Mice Png

    Mice - Mice Png

    527*516

    1

    1

  • Mice

    Mice

    1875*1875

    1

    1

  • 243 × 240 Pixels - Backcrossing Mice

    243 × 240 Pixels - Backcrossing Mice

    777*768

    1

    1

  • Rat Mouse Clipart White - Mice Cartoon Images No Backgroud

    Rat Mouse Clipart White - Mice Cartoon Images No Backgroud

    756*720

    1

    1

  • We Are In A Relentless Pursuit To Make Every Brand - Mice Industry

    We Are In A Relentless Pursuit To Make Every Brand - Mice Industry

    500*500

    1

    1

  • Mice Pest Control

    Mice Pest Control

    700*600

    1

    1

  • Ninja Clipart Mouse - Ninja Mice

    Ninja Clipart Mouse - Ninja Mice

    415*408

    1

    1

  • Mouse Playing In Shamrocks Png Images - St Patrick's Day Mice

    Mouse Playing In Shamrocks Png Images - St Patrick's Day Mice

    600*238

    1

    1

  • Cartoon Mickey Mouse - Mice Png

    Cartoon Mickey Mouse - Mice Png

    786*627

    1

    1

  • Roof Rat - Mice Png Transparent

    Roof Rat - Mice Png Transparent

    500*300

    0

    0

  • Asus Rog Sica Gaming Mouse - Asus Rog Sica Usb Optical 5000dpi Ambidextrous White

    Asus Rog Sica Gaming Mouse - Asus Rog Sica Usb Optical 5000dpi Ambidextrous White

    720*720

    1

    1

  • Mum & Dad Mouse In Cigar-box - Maileg Mum And Dad Mice-in-a-cigar-box

    Mum & Dad Mouse In Cigar-box - Maileg Mum And Dad Mice-in-a-cigar-box

    1200*1000

    0

    0

  • Cinderella Disne Mice

    Cinderella Disne Mice

    640*480

    0

    0

  • Tube Dominance Test - Dominance Test Mice

    Tube Dominance Test - Dominance Test Mice

    545*600

    0

    0

  • 3m Ergonomic Mouse - Mice For Assistive Technology

    3m Ergonomic Mouse - Mice For Assistive Technology

    2146*2024

    0

    0

  • Sound Mice

    Sound Mice

    1000*1000

    0

    0

  • Pin By Steph On Cenicienta - Ravensburger Cinderella Xxl Puzzle

    Pin By Steph On Cenicienta - Ravensburger Cinderella Xxl Puzzle

    654*600

    1

    1

  • Mickey Mouse Parties, Mickey E Minie, Birthday Decorations, - Letra S Minnie Rosa

    Mickey Mouse Parties, Mickey E Minie, Birthday Decorations, - Letra S Minnie Rosa

    1034*1600

    1

    1

  • Th17 Differentiation In Humans And Mice Is Associated - Diagram

    Th17 Differentiation In Humans And Mice Is Associated - Diagram

    813*1037

    1

    1

  • Ganesh Vector Ganesha Mouse - Bal Ganesh Mouse Png

    Ganesh Vector Ganesha Mouse - Bal Ganesh Mouse Png

    400*400

    1

    1

  • Jpg Free Download Mice Mouse Clip Art History Greentral - Mouse Clipart Png

    Jpg Free Download Mice Mouse Clip Art History Greentral - Mouse Clipart Png

    472*592

    1

    1

  • Grafos Minniea Png M Pinterest Mice Grafosminnieapng - Letter A Minnie Mouse

    Grafos Minniea Png M Pinterest Mice Grafosminnieapng - Letter A Minnie Mouse

    1230*1600

    1

    1

  • Razer Has Announced The Arrival Of The Deathadder Chroma - Razer Deathadder Chroma Gaming Mouse

    Razer Has Announced The Arrival Of The Deathadder Chroma - Razer Deathadder Chroma Gaming Mouse

    1920*843

    1

    1

  • 000 - Cartoon

    000 - Cartoon

    435*760

    1

    1

  • Shade Man Machine Logo Hygienic Waterproof Keyboards - Number

    Shade Man Machine Logo Hygienic Waterproof Keyboards - Number

    560*259

    1

    1

  • Banner Free Library Mice Clipart Animal - Cute Cartoon Mouse

    Banner Free Library Mice Clipart Animal - Cute Cartoon Mouse

    759*800

    1

    1

  • Mouse, Rodent, Cute, Mammal, Nature, Animal, Mice, - Mouse Animal Animated

    Mouse, Rodent, Cute, Mammal, Nature, Animal, Mice, - Mouse Animal Animated

    720*720

    1

    1

  • Beatrix Potter Inside Cover Two Bad Mice Transparent - Beatrix Potter Illustrations

    Beatrix Potter Inside Cover Two Bad Mice Transparent - Beatrix Potter Illustrations

    401*449

    1

    1

  • Exposing Newborn Mice To General Anesthetic Disrupts - Cognitive Plasticity In Neurologic Disorders

    Exposing Newborn Mice To General Anesthetic Disrupts - Cognitive Plasticity In Neurologic Disorders

    401*379

    1

    1

  • This Image Is From Artist Ellen Jareckie's Line Of - Little Nibbler Tile Coaster

    This Image Is From Artist Ellen Jareckie's Line Of - Little Nibbler Tile Coaster

    450*639

    1

    1

  • Windows 10 Restore Top Cheap Gaming Mice - Mouse Redragon Centrophorus

    Windows 10 Restore Top Cheap Gaming Mice - Mouse Redragon Centrophorus

    500*500

    1

    1

  • Logitech G100s Gaming Combo - Logitech Wireless Microphone - Wireless Microphone

    Logitech G100s Gaming Combo - Logitech Wireless Microphone - Wireless Microphone

    700*700

    1

    1

  • Cinderella Mice Clipart - 65x85cm Disney Princess Cinderella Sticker Wall Decoration

    Cinderella Mice Clipart - 65x85cm Disney Princess Cinderella Sticker Wall Decoration

    667*330

    1

    1

  • Im Scared Of Mice - Self-incrimination

    Im Scared Of Mice - Self-incrimination

    1164*385

    1

    1

  • Three Mice - Cartoon

    Three Mice - Cartoon

    420*420

    1

    1

  • No Mice - Hate Mouse

    No Mice - Hate Mouse

    977*852

    1

    1

  • This Free Icons Png Design Of Mice

    This Free Icons Png Design Of Mice

    2400*2325

    1

    1

  • Why Blackfoot Never Killed Mice-cindy - Cartoon

    Why Blackfoot Never Killed Mice-cindy - Cartoon

    1164*385

    1

    1

  • Pumpkin Mice Mens T-shirt - T-shirt

    Pumpkin Mice Mens T-shirt - T-shirt

    484*484

    1

    1

  • Cinderella Mice Png Full Resolution - Timothy Q Mouse Disney

    Cinderella Mice Png Full Resolution - Timothy Q Mouse Disney

    805*1057

    1

    1

  • Alicia Who Sees Mice - Cartoon

    Alicia Who Sees Mice - Cartoon

    1164*385

    1

    1

  • Green Mice And Tan Mice - Cartoon

    Green Mice And Tan Mice - Cartoon

    1164*385

    1

    1

  • Of Mice And Men

    Of Mice And Men

    970*1104

    1

    1

  • By Mollyketty Deviantart Com On Love My - Disney Giant Vinyl Wall Decal Set Mickey Mouse

    By Mollyketty Deviantart Com On Love My - Disney Giant Vinyl Wall Decal Set Mickey Mouse

    631*654

    1

    1

  • Jeff Foster Illustration, Retro And Vintage Digital

    Jeff Foster Illustration, Retro And Vintage Digital

    1008*1008

    1

    1

  • Pin By Art Lussos On Disney Stuff - Painting

    Pin By Art Lussos On Disney Stuff - Painting

    1170*1894

    1

    1

  • Mice - May 2017 - - Tata Medical Centre Logo

    Mice - May 2017 - - Tata Medical Centre Logo

    720*445

    1

    1

  • Roll20 Esports - Roll20 Logo

    Roll20 Esports - Roll20 Logo

    2100*2100

    1

    1

  • Klepper And Friends 3peat Clickhole Snl's Luke Null - Comedy Festival

    Klepper And Friends 3peat Clickhole Snl's Luke Null - Comedy Festival

    800*188

    1

    1

  • Circus Tent With Mice - Maileg Mouse Stilt Clown

    Circus Tent With Mice - Maileg Mouse Stilt Clown

    460*383

    1

    1

  • Logitech Wireless Keyboards, Mice, Accessories On Sale - Sellafield Ltd Logo

    Logitech Wireless Keyboards, Mice, Accessories On Sale - Sellafield Ltd Logo

    842*266

    1

    1

  • Mice Can Get Through Holes As Small As A Dime And Rats - Interesting Facts Clipart

    Mice Can Get Through Holes As Small As A Dime And Rats - Interesting Facts Clipart

    946*448

    1

    1

  • Like The Alienware Desktops And Laptops, Both The Elite - Alienware Elite Gaming Mouse Aw958

    Like The Alienware Desktops And Laptops, Both The Elite - Alienware Elite Gaming Mouse Aw958

    1440*1440

    1

    1

  • Steelseries Mice - - Steelseries Rival 600

    Steelseries Mice - - Steelseries Rival 600

    600*520

    1

    1

  • [picture Of Mice Posted With Permission From Current - Dog

    [picture Of Mice Posted With Permission From Current - Dog

    1273*431

    1

    1

  • Professional Gamers And Features A Claw Or Palm Grip - Pulsefire Hyperx

    Professional Gamers And Features A Claw Or Palm Grip - Pulsefire Hyperx

    1150*720

    1

    1

  • A, Mc3 Rko Mice Lose A Similar Amount Of Body Fat As - Diagram

    A, Mc3 Rko Mice Lose A Similar Amount Of Body Fat As - Diagram

    850*928

    1

    1

  • Gaming Mouse And Keyboard Png - Pc Gaming Keyboard Png

    Gaming Mouse And Keyboard Png - Pc Gaming Keyboard Png

    1000*498

    1

    1

  • Mice Gaming Gear Clutch Gm40 White - Msi Gm 40 Glossy White Mouse

    Mice Gaming Gear Clutch Gm40 White - Msi Gm 40 Glossy White Mouse

    600*480

    1

    1

  • Anti-hemolytic Activity Of Siamese Neem Tree Extract - Plasmodium Berghei

    Anti-hemolytic Activity Of Siamese Neem Tree Extract - Plasmodium Berghei

    850*443

    1

    1

  • Contour Design Best Ergonomic Mouse Rollermouse Pain - Computer Mouse

    Contour Design Best Ergonomic Mouse Rollermouse Pain - Computer Mouse

    6442*2975

    1

    1

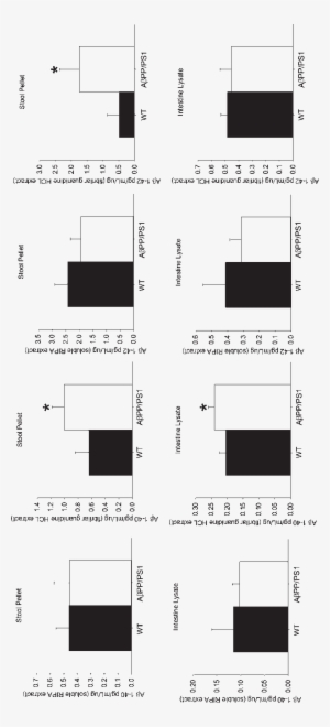
  • Small Intestine And Stool Pellet Have Increased A In - Diagram

    Small Intestine And Stool Pellet Have Increased A In - Diagram

    727*1600

    1

    1

  • Dangers Of Mice And Rats - Cartoon

    Dangers Of Mice And Rats - Cartoon

    1834*555

    1

    1

  • Mice Clipart Nose - Grey Clipart

    Mice Clipart Nose - Grey Clipart

    729*720

    1

    1

  • Glucose Tolerance Test - Low-fat Diet

    Glucose Tolerance Test - Low-fat Diet

    850*396

    1

    1

  • Total Amounts Of Active Waking And Quiet Waking (b) - Diagram

    Total Amounts Of Active Waking And Quiet Waking (b) - Diagram

    850*258

    1

    1

  • Timeline Showing Mouse Survival And Infectiousness - Fig.1

    Timeline Showing Mouse Survival And Infectiousness - Fig.1

    850*525

    1

    1

  • Computer Mice - Computer

    Computer Mice - Computer

    400*400

    0

    0

  • Logitech Computer Mice For Pc & Mac, Wired Or Wireless - Logitech M545 - 5-btn Mouse - Wireless - 2.4 Ghz

    Logitech Computer Mice For Pc & Mac, Wired Or Wireless - Logitech M545 - 5-btn Mouse - Wireless - 2.4 Ghz

    393*393

    1

    1

  • Pixel Pixelated Pixelart Mouse Mice Kawaii Cute Anime - Pixel Art Mouse

    Pixel Pixelated Pixelart Mouse Mice Kawaii Cute Anime - Pixel Art Mouse

    1024*1024

    1

    1

  • Pixelated Pixel Anime Manga Kawaii Cute Mouse Mice - Pixel Rat Gif

    Pixelated Pixel Anime Manga Kawaii Cute Mouse Mice - Pixel Rat Gif

    1024*1024

    1

    1

  • In Vivo Antitumor Effect On 4tl-bearing Breast Cancer - Breast Cancer

    In Vivo Antitumor Effect On 4tl-bearing Breast Cancer - Breast Cancer

    850*513

    0

    0

  • Forest Animals Deer Hedgehog Mice Skunks - Maple

    Forest Animals Deer Hedgehog Mice Skunks - Maple

    542*800

    1

    1

  • Transformers 3 Bumblebee Razer Deathadder Gaming Mice - Razer Deathadder Transformer 3 Optimus Prime Mouse

    Transformers 3 Bumblebee Razer Deathadder Gaming Mice - Razer Deathadder Transformer 3 Optimus Prime Mouse

    800*600

    1

    1

  • Of Mice And Men Essay Loneliness - Essay

    Of Mice And Men Essay Loneliness - Essay

    791*845

    0

    0

  • Mice Clipart Rat - Cute Mouse

    Mice Clipart Rat - Cute Mouse

    640*480

    1

    1

  • Tien Hsien Liquid Inhibited The Growth Of Ct26 High - Syngenic

    Tien Hsien Liquid Inhibited The Growth Of Ct26 High - Syngenic

    711*1287

    1

    1

  • Lab Mice Cartoon Hd Wallpapers - Cartoon Lab Mouse

    Lab Mice Cartoon Hd Wallpapers - Cartoon Lab Mouse

    570*597

    1

    1

  • Mouse With Cheese Clipart Cartoon - Mom Mouse Clip Art

    Mouse With Cheese Clipart Cartoon - Mom Mouse Clip Art

    472*791

    0

    0

  • The Range Of E Blue Gaming Mice Was Expanded With Two - Cobra Ems653 Gaming Mouse

    The Range Of E Blue Gaming Mice Was Expanded With Two - Cobra Ems653 Gaming Mouse

    800*746

    1

    1

  • Deer, Chibi, Mice, Kawaii, Kawaii Cute, Reindeer - Design

    Deer, Chibi, Mice, Kawaii, Kawaii Cute, Reindeer - Design

    400*542

    0

    0

1 2 Next